扫一扫二维码
进群一起备考
查看更多当前 - 案例分析 - 系统设计与建模
简单
案例题
2021年11月第2题
简单
案例题
2021年11月第2题
#必须掌握
#超纲
阅读以下关于软件系统设计与建模的叙述,在答题纸上回答问题1至问题3。
【说明】
某医院拟委托软件公司开发一套预约挂号管理系统,以便为患者提供更好的就医体验,为医院提供更加科学的预约管理。本系统的主要功能描述如下:(a)注册登录,(b)信息浏览,(c)账号管理,(d)预约挂号,(e)查询与取消预约,(F)号源管理,(g)报告查询,(h)预约管理,(i)报表管理和(j)信用管理等。
分值(6分)
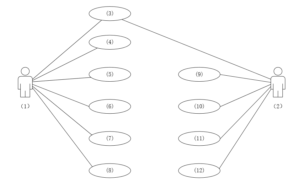
若采用面向对象方法对预约挂号管理系统进行分析,得到如图2-1所示的用例图。请将合适的参与者名称填入图2-1中的(1)和(2)处,使用题干给出的功能描述(a)~(j),完善用例(3)~(12)的名称,将正确答案填在答题纸上。

参考答案
(1)预约人员(患者)
(2)医院管理人员
(3)(a)注册登录
(4)-(8) (b)信息浏览 (c)账号管理 (d)预约挂号(e)查询与取消预约(g)报告查询
(9)-(12) (f)号源管理(h)预约管理(i)报表管理(j)信用管理
凯恩解析
该问考查UML中的用例图填充,首先根据题意可以分析出患者这个参与者。而另一个参与者题目没有明示,然而从号源管理、预约管理等用例来看,定性为"医院管理员"较为合适,医院管理员是一个系统中比较常见的角色,起系统管理职能。然后通过用例的名称来分析判断哪些用例归属于患者哪些归属于医院管理员,按这个逻辑很容易分析出:
患者:(a)注册登录(b)信息浏览 (c)账号管理 (d)预约挂号(e)查询与取消预约(g)报告查询
医院管理员:(a)注册登录(f)号源管理(h)预约管理(i)报表管理(j)信用管理
从而根据图中参与者对应的用例数给参与者和用例定位到具体的空中。