某项目包括8个作业A~H,每天需要间接费用5万元,完成各作业所需的时间与直接费用、赶进度时每天需要增加的费用以及作业之间的衔接关系见下表。根据这些数据,以最低成本完成该项目需要(__)天。

网络计划项目管理中,首先要计算各作业路径的总持续时间,其中总时长最长的路径为关键路径,其时长就是项目的正常工期,项目总成本由各作业直接费总和与随工期延长而增加的按日计取的间接费共同构成。
进行工期优化以降低总成本时,核心原则是优先在关键路径上选择日赶工费率最低的作业赶工,只有当日赶工费率小于等于单日间接费节约额时,赶工才能让总成本降低——每赶工1天,直接费增加额为该作业的日赶工费率,间接费减少额为单日间接费。当赶工后出现多条关键路径时,后续必须同时压缩所有关键路径的工期才能有效缩短总工期,若同时压缩的各路径作业日赶工费率之和大于每日间接费节约额,会导致总成本上升,此时应停止赶工,当前工期即为成本最低的最优工期。
另外,作业的日赶工费率为赶工总增加费除以该作业最大可赶工天数,赶工过程中需要持续重新识别关键路径,确保赶工方向的合理性。
本题考察的是网络计划(关键路径)及工期-费用权衡(赶工)。

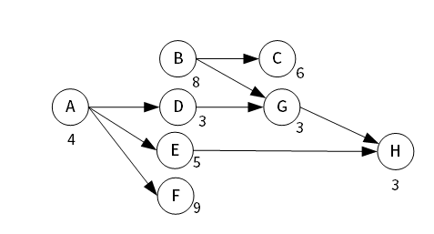
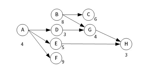
先依据前后关系绘图:起点作业A、B;C紧跟B;D、E、F紧跟A;G紧跟B、D;H紧跟E、G。各作业工期:A4、B8、C6、D3、E5、F9、G4、H3。
计算最早完成时间:B→G→H为8+4+3=15天;B→C为8+6=14天;A→E→H受G约束,H最早由G决定为12开始,完工仍为15天。
故正常工期为15天,总直接费为20+30+15+5+15+40+10+15=150万元,总成本=直接费+间接费=150+15×5=225万元。
为降低总成本,应在关键路径上以最小日赶工费率进行赶工,且每赶1天可节约间接费5万元/天。
关键路径B–G–H的日赶工费率分别为B6、G3、H6(万元/天)。先赶工G 1天,费用增加3万元,但间接费减少5万元,净降2万元,工期变为14天。此时形成两条关键路径:B–G–H与B–C,均为14天。若再压缩1天,必须同时压缩两条关键路径:
①赶工B 1天可同时缩短两条路径,费用+6,间接费−5,净**+1万元**;
②或同时赶工C与G各1天,费用+3+3=6,间接费−5,净**+1万元**;
③或同时赶工C与H各1天,费用+3+6=9,间接费−5,净**+4万元**。
上述继续压缩均使总成本上升,因此最低成本对应工期为14天,总成本为150+14×5+3=223万元。因此,选B。

