扫一扫二维码
进群一起备考
查看更多
当前 - 选择题 - 项目管理困难
单选题
2023年5月第44题
困难
单选题
2023年5月第44题
#第二版教材
#必须掌握
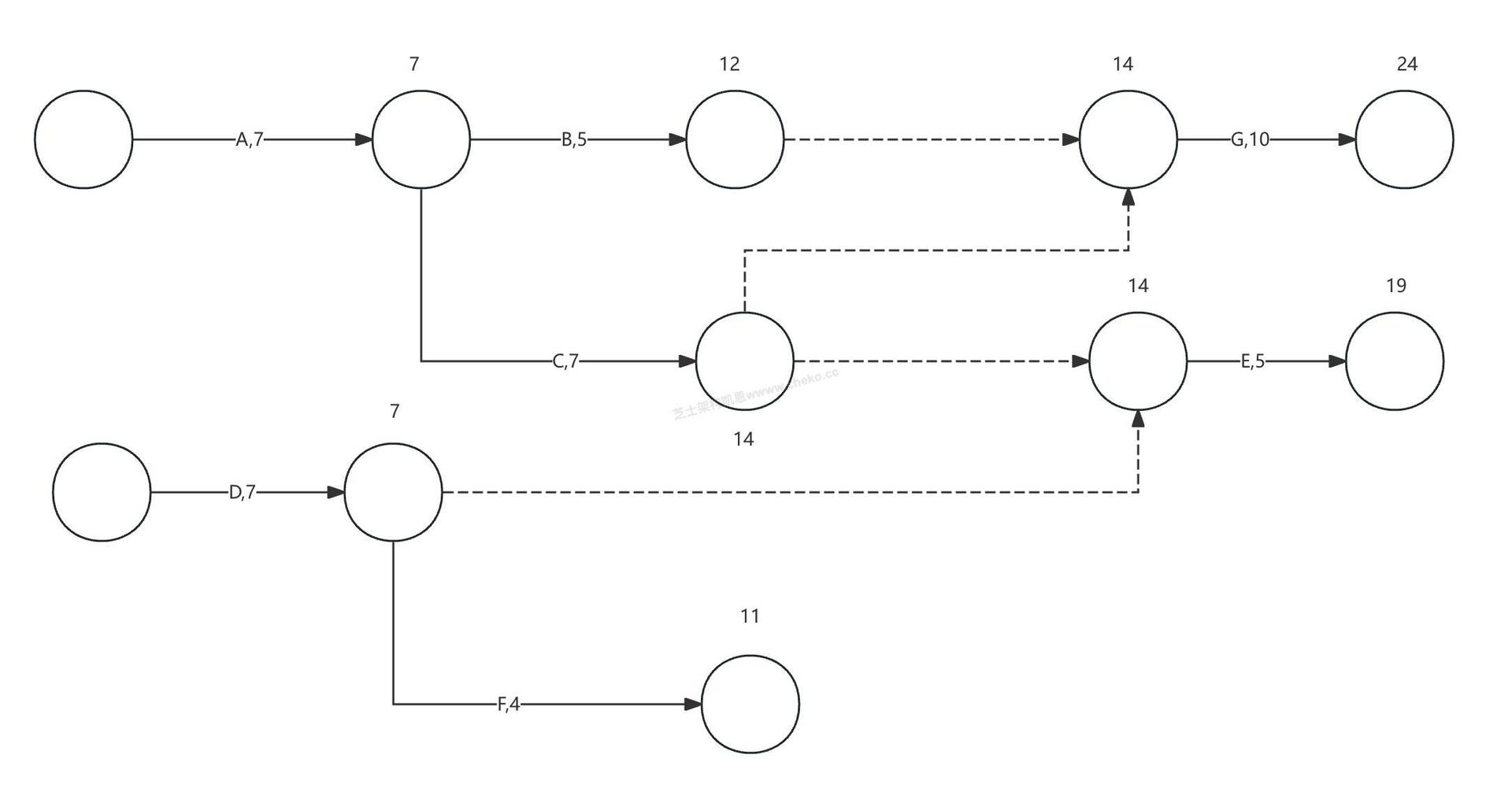
某项目共有A-G七道工序,各道工序所需的时间(天数)以及工序之间的运行关系如下表。该项目计划的最短工期为 (问题1) 天。假设每道工序只需要一人做,每个人都可以做所有各道工序,但不能同时做多道工序,那么该项目至少需要 (问题2) 人。

浓缩知识点
PERT网络图核心知识点:一是关键路径与项目最短工期,关键路径是项目活动网络中从起点到终点的最长活动序列,其总时长即为项目的最短完成工期,该路径上的活动无时间浮动,任何延迟都会直接导致总工期延长,计算时需枚举所有路径并累加各路径活动时长,取最大值对应的路径即为关键路径;二是项目人力资源优化,当单工序仅需1人、人员可胜任全部工序且无法同时作业时,可借助资源平滑策略,利用非关键路径的时间浮动空间,合理划分活动组分配给不同人员,让人员在活动间有序衔接,以此确定满足工期要求的最少人力资源数,实现资源高效利用且不影响关键路径工期。
正确答案
D
此题考察PERT网络图的相关知识。
问题 1:
用双代号网络图非常直观可以看到。

这里关键路径是ACG,最短工期为24天。
问题 2:
项目人力资源优化,当单工序仅需1人、人员可胜任全部工序且无法同时作业时,可借助资源平滑策略,利用非关键路径的时间浮动空间,合理划分活动组分配给不同人员。这里关键路径是ABG,让甲做 ABG 的工作,让乙做非关键路径DCEF 的工作即可。
