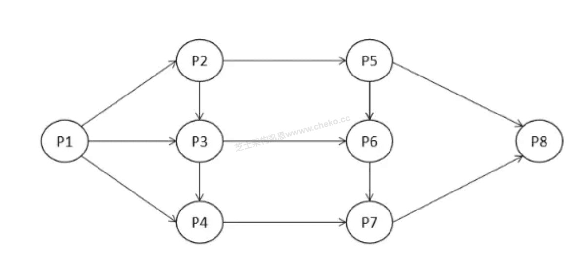
前趋图是一个有向无环图,记为:→={(Pi,Pj)} | 在 Pj 开始前,Pi 需要完成 },假设系统中进程P= { P1,P2,P3,P4,P5,P6,P7,P8 },且进程的前趋图如下图所示。那么,该前趋图可记为(【{(P1,P2),(P1,P3),(P1,P4),(P2,P3),(P2,P5),(P3,P4),(P3,P6),(P4,P7),(P5,P6),(P5,P8),(P6,P7),(P7,P8)}】)

前趋图是用于表示进程或任务间先后依赖关系的有向无环图,简称DAG,图中节点代表任务或进程,有向边(Pi,Pj)表示必须在Pi完成后,Pj才能开始执行。它是进程同步、项目进度调度等场景的常用工具,可通过拓扑排序得到符合所有依赖约束的合法执行序列,且图中绝对不能存在环路,否则会引发循环依赖导致任务无法推进甚至死锁。在将前趋图转化为边集表示时,需准确捕捉每个节点的直接前驱关系,避免遗漏或错误添加依赖边;除此之外,前趋图还可延伸应用于关键路径分析,助力优化任务执行流程,提升整体调度效率。
题目考察的是进度图的表示方法,尤其是针对有向无环图(DAG)的进度依赖关系。
根据图中提供的信息,可以将图的结构转化为进度图中相应的依赖关系。图中的各节点表示不同的任务,而边表示任务之间的先后依赖关系。
在该图中,任务 P1 需要在 P2 和 P3 开始之前完成,任务 P3 必须在 P5 完成之后才能开始,P6 需要在 P5 完成之后开始,P7 必须等 P6 完成后开始,P8 需要在 P5 或 P7 完成后开始等。
通过分析图形的结构,可以发现该图的拓扑排序为:
P1 -> P2 -> P3 -> P5 -> P6 -> P7 -> P8
即任务的执行顺序应当是 P1 → P2 → P3 → P5 → P6 → P7 → P8。
因此,该进度图可以表示为:
{(P1,P2),(P1,P3),(P1,P4),(P2,P3),(P2,P5),(P3,P4),(P3,P5),(P4,P6),(P5,P7),(P5,P8),(P6,P7),(P7,P8)}
该进度图的表示方式符合进度依赖的要求。
选择选项 B。
