扫一扫二维码
进群一起备考
查看更多
当前 - 选择题 - 网络与最大流量中等
单选题
2025年11月第11题
中等
单选题
2025年11月第11题
#第二版教材
#必须掌握
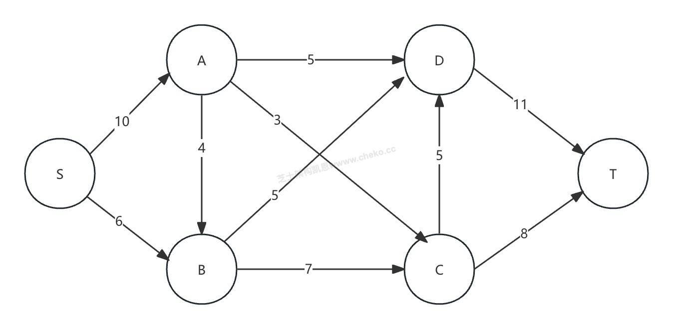
下图所示为一条输油网络图,其中每条有向边上的数字表示管道的最大流量(单位:吨/小时)。试计算从 S 到 T 的最大流量(【16】),并判断关闭哪一条路径(【CD】)不影响系统的最大流量。

浓缩知识点
网络最大流是指从网络源点到汇点的最大可行传输流量,核心遵循最大流最小割定理,即网络的最大流数值等于能将源点与汇点分隔开的最小割集的总容量,最小割集是所有分割源汇点的边集合中容量之和最小的那个。求解最大流常用基于增广路径的算法,比如标号法,通过不断寻找从源到汇可增加流量的路径,逐步累加流量直至无增广路径存在。在网络中,未被纳入任何增广路径的边属于非关键边,关闭这类边不会对最大流产生影响。该理论广泛应用于交通运力调度、物流资源分配、通信网络带宽规划等诸多实际场景。
正确答案
A
本题考察的是网络最大流(Max-Flow)算法与割集分析。
直接用作图法求解。





那么总的流量就是 5+5+3+1+2 = 16。从图中可以看到 CD 的通路至始至终没有利用到,所以这条管线关闭不影响最大流量。
答案选择 A,A。
