扫一扫二维码
进群一起备考
查看更多
当前 - 选择题 - 项目管理困难
单选题
2025年11月第14题
收藏
分享
#项目管理
#第二版教材
#凯恩建议必须掌握
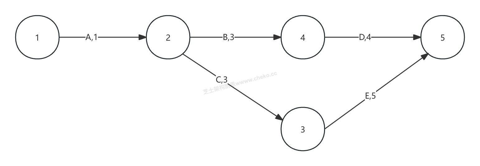
某项目完成项目工期的双代号网络图如下,每个项目加班一天所需要的费用见下表,若项目需要缩减2天,最少加班花费是(__)。


问题(1)
正确答案A
凯恩解析
本题考察的是项目进度管理中的工期压缩(赶工分析)。
从图中可以看到,ACE 是一条关键路径,长度是 9,另一条路径 ABD 的路径长度是 9。那么先压缩 ACE,让它的长度变成 8。看表,可以看到压缩 E 的代价最小为 1,所以压缩 E 的进度。

此时关键路径有两条,分别是 ACE 和 ABD。此刻要同时缩短这两条关键路径才有用。我们可以让 A 赶工一天,代价只要 3,就可以让两条关键路径同时缩短。同时也可以让 B 缩短1天(代价 2),E 缩短 1 天(代价1),此时也能让两条关键路径同时缩短。
所以最小代价就是 1+3 = 3 或则 1+2+1=4,最小代价就是 4。
