扫一扫二维码
进群一起备考
查看更多
当前 - 选择题 - 前趋图简单
单选题
2019年11月第1题
简单
单选题
2019年11月第1题
#第二版教材
#必须掌握
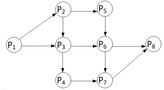
前趋图是一个有向无环图,记为:→={(Pi,Pj)} | 在 Pj 开始前,Pi 需要完成 }。假设系统中进程 P={P1,P2,P3,P4 ,P5 ,P6,P7,P8} ,且进程的前趋图如下:

那么,该前趋图可记为(__)。
问题(1)
浓缩知识点
前趋图是用于刻画进程、任务等执行先后依赖关系的有向无环图(DAG),图中的有向边(Pi,Pj)代表执行约束,即必须在Pi完成后,Pj才能启动。它常被应用于操作系统进程调度、项目进度管理(如PERT图)、并行任务规划等场景,帮助梳理执行逻辑、避免资源冲突与任务死锁。构建和校验前趋图时,需精准匹配实际依赖逻辑,要确保涵盖所有必要的先后关联边,不能遗漏关键依赖,也不能添加不存在的依赖关系,同时严格规避循环依赖,否则会破坏有向无环的核心属性,导致任务无法按序推进。
正确答案
D
本题考察的是前趋图的构建与依赖关系的识别。
前趋图用于描述进程之间的执行先后关系,通常用于任务调度、项目管理(如PERT图)等场景中。
A选项:包含了图中不存在的边(如P1→P4、P3→P5),缺失应有的边(如P2→P3),错误。
B选项:方向完全错误,且包含逆向依赖,不符合DAG定义,错误。
C选项:缺少必要边(如P2→P3),包含不存在的边(如P1→P4),错误。
D选项:完全符合图中结构,包含所有有效依赖关系,是正确答案。
选择选项 D。
