扫一扫二维码
进群一起备考
查看更多
当前 - 选择题 - 前趋图简单
单选题
2017年11月第5题
简单
单选题
2017年11月第5题
#第二版教材
#必须掌握
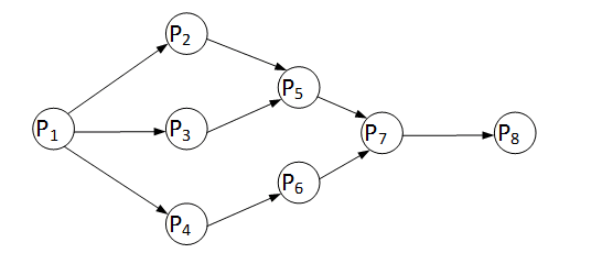
前趋图是一个有向无环图,记为:→={(Pi,Pj)} | 在 Pj 开始前,Pi 需要完成 }。假设系统中进程P={P1,P2,P3,P4,P5,P6,P7,P8},且进程的前趋图如下:

那么前趋图可记为:(__)。
问题(1)
浓缩知识点
前趋图是用于描述进程间执行先后约束关系的有向无环图(DAG),核心规则是图中的有向边(Pi,Pj)代表Pi完成后Pj才能开始执行,这类图不允许出现循环结构,否则会引发进程执行死锁问题。在操作系统中,它常被用于刻画进程同步逻辑、作业调度先后顺序等场景。梳理前趋图的边集时,需逐一明确每个进程的前驱(前置完成的进程)与后继(后续启动的进程),保证边的方向为前驱指向后继,同时要完整覆盖所有约束关系,避免出现边方向反转、关键约束边遗漏等错误,以此准确反映进程间的执行依赖逻辑。
正确答案
C
本题考察的是前趋图(有向无环图,DAG)对进程先后约束关系的表示。
根据定义,有向边(Pi,Pj)表示Pj开始前Pi必须完成。从给定图中逐一读取所有有向边,可得到:P1→P2、P1→P3、P1→P4、P2→P5、P3→P5、P4→P6、P5→P7、P6→P7、P7→P8,正好与选项C一致。
A选项把方向全部反了(如写成P2→P1),与“先做Pi再做Pj”的含义相反,错误。
B选项遗漏了关键边P3→P5与P4→P6,边集合不完整,错误。
C选项完整且方向正确,逐条对应图中的每一条有向边,正确。
D选项同样把方向反转(如写成P5→P2而非P2→P5),与定义不符,错误。
因此,选择 C。
