扫一扫二维码
进群一起备考
查看更多
当前 - 选择题 - 前趋图简单
单选题
2014年11月第1题
收藏
分享
#操作系统
#前趋图
#第二版教材
#凯恩建议必须掌握
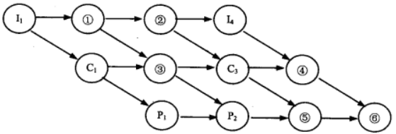
某计算机系统中有一个CPU、一台输入设备和一台输出设备,假设系统中有四个作业T1、T2、T3和T4,系统采用优先级调度,且T1的优先级>T2的优先级>T3的优先级>T4的优先级。每个作业具有三个程序段:输入Ii、计算Ci和输出Pi(i=1,2,3,4),其执行顺序为Ii→Ci→Pi。这四个作业各程序段并发执行的前趋图如下所示。图中①、②、③分别为(问题1),④、⑤、⑥分别为(问题2)。

正确答案B
凯恩解析
本题考察的是前趋图表示的资源顺序约束与作业程序段的先后依赖。
系统只有1个输入设备、1个CPU、1个输出设备,且优先级T1>T2>T3>T4,因此同一类资源在时间上按T1→T2→T3→T4顺序串行使用;同时每个作业内部满足I→C→P的先后约束。
问题 1:
图中①、②位于输入链路上、分别在I1之后的两个节点,表示在单输入设备与优先级顺序约束下,应依次为I2、I3。③位于CPU链路上、紧随C1之后,表示CPU顺序中的下一个计算段为C2。因此依次为I2、I3、C2,选B。
A选项 I2、C2、C4:②不是CPU段;③不是C4。
C选项 C2、P3、C4:①、②都不可能是输出段P3。
D选项 C2、P3、P4:①、②不在输出链路上,错误。
选择选项 B。
问题 2:
④位于CPU链路上、在C3之后,按CPU顺序应为C4;⑤位于输出链路上、在P2之后,应为P3;⑥位于输出链路最末端,应为P4。故依次为C4、P3、P4,选D。
A选项 C2、C4、P4:④不是C2;⑤不是CPU段。
B选项 I2、I3、C4:④不在输入链路上。
C选项 I3、P3、P4:④不是输入段。
选择选项 D。
