扫一扫二维码
进群一起备考
查看更多
当前 - 选择题 - 项目管理困难
单选题
2022年5月第42题
困难
单选题
2022年5月第42题
#第二版教材
#了解即可
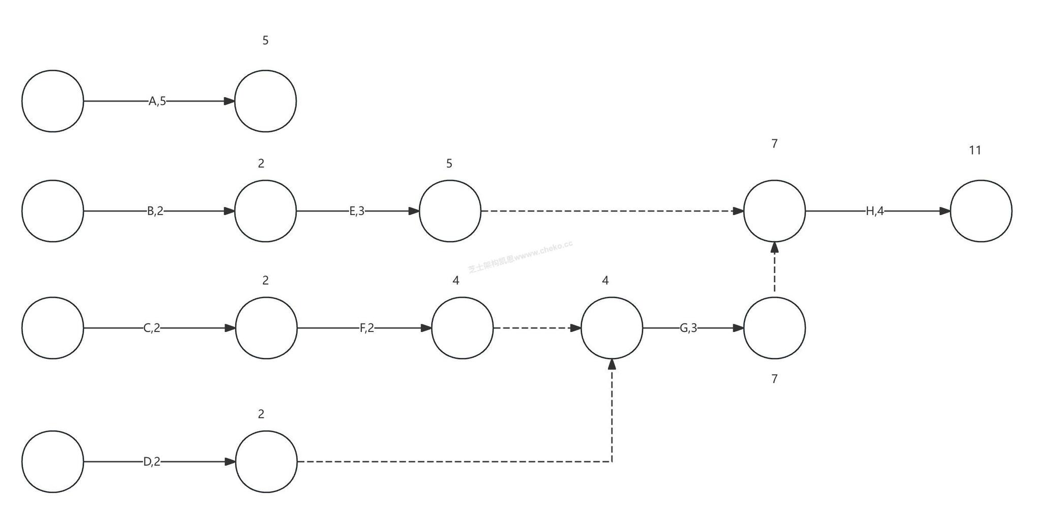
某项目有8个作业A~H,每个作业的紧前作业、所需天数和所需人数见下表。由于整个项目团队总共只有10人,各个作业都必须连续进行,中途不能停止,因此需要适当安排施工方案,使该项目能尽快在(12)内完工。在该方案中,作业A应安排在(第8~12天)内进行。

浓缩知识点
项目进度管理中,需先借助单代号网络图明确各活动的逻辑依赖关系,推导无资源约束下的关键路径与最短工期。当项目面临人员等资源总量限制时,要先识别出并行执行会引发资源超标的冲突活动,结合活动的紧前紧后逻辑约束,将冲突活动调整为顺序执行,同时尽可能将非冲突活动与调整后的活动并行安排,最大化资源利用率。优化过程中需优先保障关键路径活动的推进,对于无强依赖的非关键活动,可灵活安排在资源空闲的时间窗口执行,最终确定资源约束下的项目最短完工工期,以及各非关键活动的最优执行时段,实现进度与资源的平衡适配。
正确答案
C
此题考察的其实是项目管理网络图。
问题 1:
画出单代号网络图。

得到关键路径为此时关键路径为C-F-G-H,项目工期至少需要11天。但是此时还不能得到答案,因为有人数限制。
问题 2:
根据题干要求分析,项目团队一共只有10人,此时项目受到人员限制,需要调整。分析发现,A、C、E、F这4个活动因为人员不足所以不可以同时并行只能顺序执行。
根据逻辑关系可知C活动必须在F活动之前、B活动必须在E活动之前、D活动和F活动必须在G活动之前、E活动和G活动必须在H活动之前,A活动没有限制可以放在最后考虑。
因为逻辑关系限定,可以先考虑C活动和F活动,再考虑E活动,然后将其他活动并行安排在这4个活动的时间内。
综上可知,项目最快能在12天完工,此时A活动安排在第8~12天。
