扫一扫二维码
进群一起备考
查看更多
当前 - 选择题 - 项目管理中等
单选题
2018年5月第37题
中等
单选题
2018年5月第37题
#第二版教材
#必须掌握
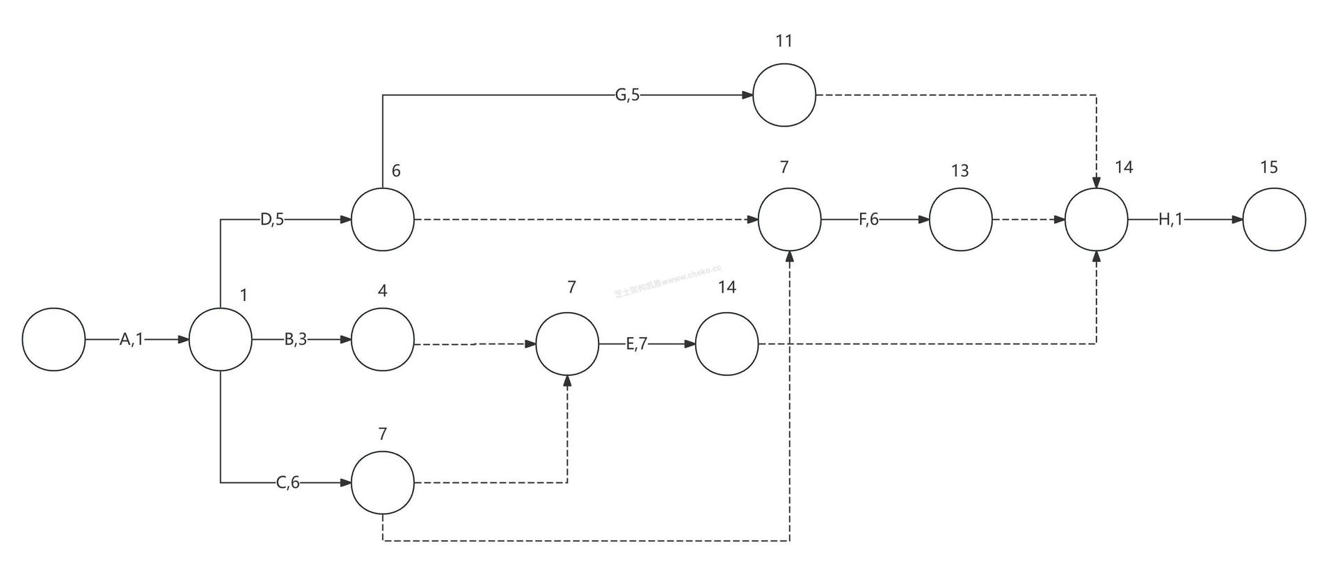
某项目有A~H八个作业,各作业所需时间(单位:周)以及紧前作业如下表:

该项目的工期为(【13】)周。如果作业C拖延3周完成,则该项目的工期(【拖延2周】)。
浓缩知识点
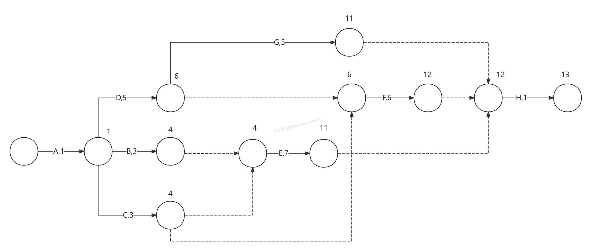
关键路径法是项目进度管理的核心方法,项目总工期由项目网络图中最长的活动路径即关键路径决定,关键路径上的活动属于关键活动,无松弛时间,一旦拖延会直接导致总工期延长。非关键活动存在一定的松弛时间,若其拖延时长未超过自身松弛时间,不会影响总工期;若拖延时长超出松弛时间,原关键路径可能发生变化,需重新梳理所有活动路径并计算各路径的活动时间总和,新的最长路径时长与原关键路径时长的差值,就是总工期的拖延时长。在实际应用中,需先依据活动的紧前、紧后关系梳理出所有可行的活动路径,分别计算每条路径的累计活动时间,其中的最大值即为项目基准工期。
正确答案
B
此题考察的其实是项目管理网络图。

从图中找出最长路径,最长路径为 ADFH,长度为 13,所以总工期 13周。
当作业 C 拖延 3 周后,关键路径发生改变,变为 ACEH,长度为 15,所以总工期从 13 周,延长至 15 周,一共拖延 2 周。

