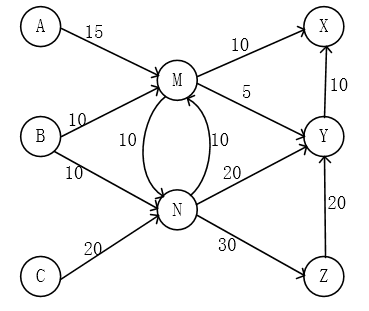
X、Y、Z 是某企业的三个分厂,每个分厂每天需要同一种原料 20 吨,下图给出了邻近供应厂A、B、C的供应运输路线图,每一段路线上标明了每天最多能运输这种原料的吨数。根据该图可以算出,从 A、B、C 三厂每天最多能给该企业运来这种原料共(__)吨。

网络最大流是物流传输类问题的核心考点,需结合供给端总输出能力与传输网络的承载瓶颈综合判定:首先要统计各供应源到中转节点的所有路径最大容量之和,得到流量的理论上限;其次不能仅关注主输送通道的总容量,中转节点间的跨层调配通道能有效平衡各需求点的流量缺口,突破单一节点的通道限制;其核心支撑是最大流最小割定理,即网络的最大可输送流量等于将网络划分为供给侧与需求侧的所有割集中总容量最小的那组的容量,这一割集是制约整体流量的关键瓶颈。在实际场景中,需验证供给端的理论输出量是否可通过合理调配通道全部送达需求端,确认无额外瓶颈后,即可确定网络的最大输送流量。
本题考察的是网络最大流/容量约束与瓶颈分析。
三个分厂的总需求为 60 吨,但左侧供给与通道上限共同决定可达的最大供给。
由图可得左侧可供总量为:A→M 15 吨,B→M 10 吨,B→N 10 吨,C→N 20 吨,总计 15+10+10+20=55 吨,因此企业每天可获得的原料不可能超过 55 吨。
需要验证运输网络是否存在导致无法把这 55 吨运到右侧三个分厂的瓶颈。右向主通道容量之和为 M→X 10 吨、M→Y 5 吨、N→Y 10 吨、N→Z 30 吨,合计 55 吨,并且右侧还有 Z→Y 20 吨、Y→X 10 吨 的“上行”调配通道,可以把到达 Z 的部分货物向上分流满足 Y、X 的需要。
例如安排:M→X 10 吨、M→Y 5 吨、N→Z 30 吨,之后由 Z→Y 15 吨、Y→X 10 吨,可使 X 获得 20 吨、Y 获得 20 吨、Z 获得 15 吨,总计 20+20+15=55 吨。因此网络能够把全部 55 吨送达,不存在额外瓶颈。
选择选项 C。
