某项目包括 A、B、C、D 四道工序,各道工序之间的衔接关系、正常进度下各工序所需的时间和直接费用、赶工进度下所需的时间和直接费用如下表所示。该项目每天需要的间接费用为 4.5 万元。根据此表,以最低成本完成该项目需要(【7】)天。

项目工期成本优化需围绕直接费用与间接费用的平衡开展,核心知识点包括:首先要明确关键路径的核心作用,正常进度下,关键路径是项目中耗时最长的活动路径,直接决定总工期,需通过绘制网络图确定;其次要计算各工序的赶工单位成本,即(赶工总直接费用-正常直接费用)除以(正常工期-赶工最短工期),这是判定赶工优先级的关键依据;赶工时要遵循优先级原则,先压缩关键路径上赶工单位成本最低的工序,每次压缩后需重新确认关键路径,若出现多条关键路径,需同步压缩各关键路径上的工序或公共工序,且必须保证赶工新增的直接费用总和不超过工期缩短所节省的间接费用,否则压缩会导致总成本上升;当所有可压缩工序的单位赶工成本均高于单位时间间接费用,或工序已达最短工期时,停止压缩,此时对应的工期即为实现最低总成本的最优工期。这类方法广泛应用于建筑、软件开发等多领域的项目进度管控,核心是在工期调整中实现成本与进度的最优平衡,避免盲目赶工造成不必要的成本损耗。
此题考察的是网络图的相关知识。
此题包含了在不同情况下关键路径的修正,因此要考虑各种赶工方案,不能遗漏,对同学的逻辑要求较高。首先从题目分析,先绘制出以下表格。这里的赶工可以简单理解为给工人发加班工资。这个表格相当于把每提早一天完工需要的加班工资计算出来了。拿 A 来说,原来谈好给 10万三天搞定,现在你要早完工一天,就要多加 4 万元一天的加班工资。但是人也是有极限的,最多每天干 24 小时,所以工期也不能无限缩短,A 这个工序最快也要 1 天完成。

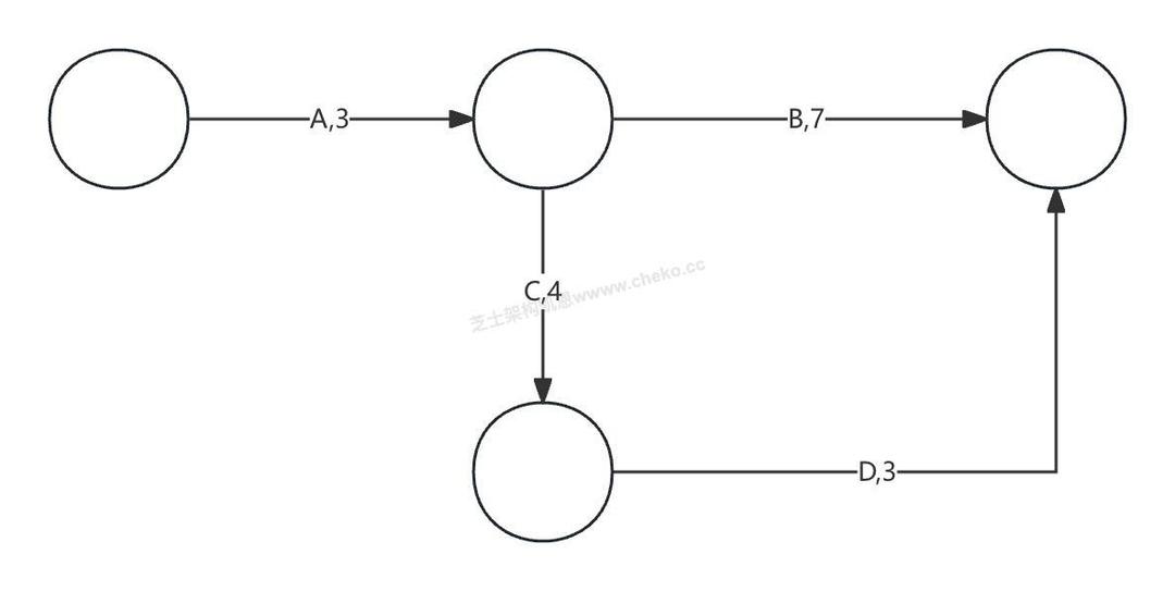
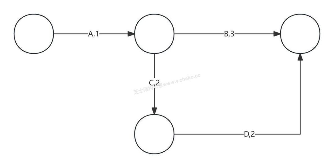
绘制正常进度计划网络图如下:

由上图可知,正常进度的关键路径是耗时最长的路径,这里为A-C-D,总工期为 3+4+5=12天,总费用为 10+15+12+8+12*4.5=99。全部赶工后的工期,关键路径是 A-C-D,总工期为 1+2+2=5 天,总费用为 18+19+20+14+5*4.5=93.5。

关键是在缩短总工期、减少间接费用的同时不引起直接费用显着增加,因此必须先缩短关键路径上的作业时间,详细操作如下:
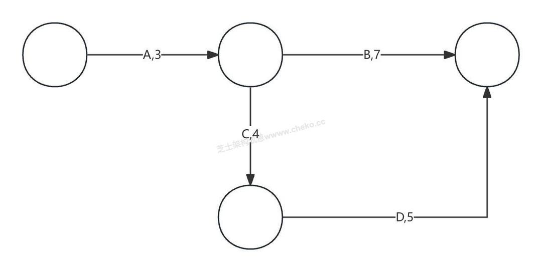
因为D是关键路径上的活动,而且压缩单位费用最低(2万/天),对D先压缩 2 天,总工期减为 10 天。本步骤增加直接费用 2*2=4万元,节省间接费用 2*4.5=9 万元,节省费用 9-4=5 万元。此时总费用为 99-5=94 万元,关键路径有两条:A-B 和 A-C-D。如下图。

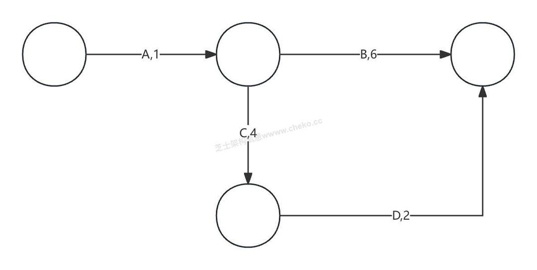
把两条关键路径上的 B 和 D 同时压缩 1天,总工期减为 9 天,本步骤增加直接费用 2+1=3 万元,节省间接费用 4.5 万元,节省费用 4.5-3 = 1.5 万元。此时总费用为 94-1.5=92. 5万元,关键路径仍为 A-B 和 A-C-D。如下图。

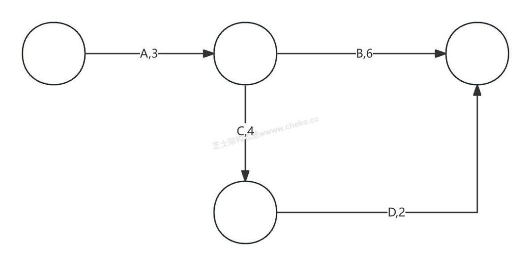
最后把两条路径公共的工序 A 压缩2天,总工期减为 7 天,本步骤增加直接费用 2*4=8 万元,节省间接费用 2*4.5=9 万元,节省费用 9-8=1 万元。此时总费用为 92.5-1=91.5万元,关键路径仍为 A-B 和 A-C-D。如下图。

这里已经不能压缩,有的同学看到 B、C 还能继续压缩,比如 BC 还可以同时再赶工两天。这里 B、C 假如赶工,单天的赶工成本是 B+C,1+4=5 万,大于节约的间接费用 4.5。
所以至此,A、B、C、D均已赶工到最大限度,总工期为7天,总费用为 91.5 万元,为最低成本。最后的计算方法为 18+16+12+14+4.5*7=91.5
