扫一扫二维码
进群一起备考
查看更多
当前 - 选择题 - 项目管理困难
单选题
2014年5月第40题
困难
单选题
2014年5月第40题
#第二版教材
#了解即可
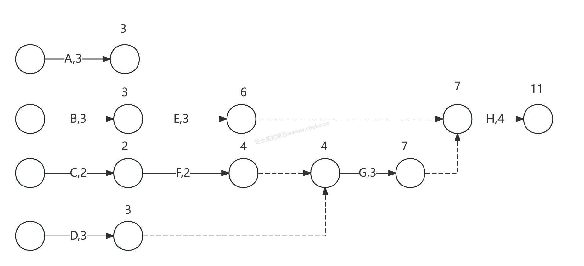
某工程项目包括8个作业A~H。各作业的紧前作业、所需天数、所需人数见下表:

该项目共有10人,各作业必须连续进行,至少需要(【12】)天才能完成。
问题(1)
浓缩知识点
项目进度管理中,关键路径法是基础工具,可先确定无资源约束时的关键路径与最短工期,关键路径是项目内历时最长的活动序列,直接决定无约束下的项目最短工期。当项目存在资源总量上限约束(如人力、设备、物料等)时,需开展资源受限的进度优化,核心是在遵循活动紧前逻辑关系的前提下,若并行活动的资源需求总和超出上限,需借助非关键活动的总时差,推迟非关键活动的开始时间以错开资源使用高峰,避免资源过载。这类调整可能改变原关键路径,导致项目总工期延长,最终目标是在满足资源约束的前提下找到项目的最短可行工期,优化过程中需优先保障关键活动的资源与进度安排,因为关键活动时差有限,调整它们会直接影响总工期。
正确答案
B
本题考察的是网络计划与资源受限进度优化(资源平衡)。
问题 1:
在不受资源约束时,由作业关系得到关键路径为C→F→G→H,历时为2+2+3+4=11天。

问题 2:

由于F必须在C完成后执行,而受10人上限的限制,F无法与D重叠,只能等D结束后再进行,致使关键线路比无资源约束时顺延1天,因此最短工期为12天。
